Contoh Surat Lamaran Kerja Aparat Desa. Contoh Surat Lamaran Menjadi Calon Bpd. Saya melamar pada loker IT di Desa saya.
 	 	 	 
 		
Diharapkan dengan surat lamaran ini, calon aparat desa yang berlaku untuk diterima di pemerintahan desa dapat melakukan pekerjaan tersebut dan juga melayani masyarakat dan bangsa melalui aparat desa. Bisa diprediksi, berapa banyak calon karyawan perdana setiap musimnya. Contoh Surat Lamaran Kerja Di Kantor Desa from www.kibrispdr.org Lamaran kerja sebagai pld/pd/tappd/ta.* yth.
Contoh contoh surat lamaran kerja ini dirangkum dari berbagai sumber yang ada dan juga terpercaya. Contoh Surat Pengantar Permohonan Rekomendasi Aparat Pemerintahan from cdn.staticaly.com. Berikut adalah contoh surat lamaran kerja sebagai berikut..
Contoh surat lamaran calon kepala desa contoh surat. Contoh contoh surat lamaran kerja ini dirangkum dari berbagai sumber yang ada dan juga terpercaya. Contoh Surat Keterangan Bersedia Tidak Menikah Selama Magang Jasa ….
Semoga ke depannya, bisa membantu dalam kemajuan desa sehingga desa tidak.
Contoh Surat Keterangan Bersedia Tidak Menikah Selama Magang Jasa ….
Contoh Surat Lamaran Kerja ini pernah saya pakai untuk melamar kerja di Desa. Contoh Surat Lamaran Untuk Aparat Desa. Contoh Surat Lamaran Kerja Perangkat Desa Tulis Tangan - Berbagai Contoh (Henrietta Bowman) Paperplane, klik untuk melihat koleksi gambar lain di kibrispdr.org.
Itulah contoh surat lamaran kerja di perangkat desa yang dapat admin kumpulkan. Contoh surat pengunduran diri aparat desa. Contoh Surat Permohonan Menjadi Perangkat Desa - Berbagai Contoh.
Contoh surat pengunduran diri aparat desa. Contoh surat lamaran perangkat desa dari Kabupaten Wonogiri ini bisa Anda jadikan acuan untuk melamar menjadi perangkat desa di daerah Anda. Contoh Surat Permohonan Menjadi Perangkat Desa - Berbagai Contoh.
Format gambar contoh surat lamaran kerja menjadi. Contoh surat pengunduran diri aparat desa. In this way, youll be able to.
Format gambar contoh surat lamaran kerja menjadi. Contoh Surat Lamaran Kerja ini pernah saya pakai untuk melamar kerja di Desa. Contoh Surat Lamaran Kerja Perangkat Desa Saja Youtube..
Contoh Surat Lamaran Kerja ini pernah saya pakai untuk melamar kerja di Desa.
Bentuk stempel panitia Penjaringan dan Penyaringan Perangkat Desa sebagai berikut.
Contoh Surat Pengantar Permohonan Rekomendasi Aparat Pemerintahan from cdn.staticaly.com. Contoh Surat Lamaran Untuk Aparat Desa. Contoh Surat Lamaran Kerja ini aliansi saya pakai untuk melamar kerja di Desa.
Contoh Surat Lamaran Kerja ini aliansi saya pakai untuk melamar kerja di Desa. Informasi yang anda cari adalah contoh surat lamaran kerja operator desa. Bagi sahabat yang sedang mencari pengalaman kerja dengan program PKL Contoh surat permohonan berikut ini pastinya bisa dipakai.
Berikut adalah contoh surat lamaran kerja sebagai berikut.. Pengunduran diri datang setelah laporan pihak ketiga menunjukkan eksekutif puncak. Contoh Surat Lamaran Pekerjaan Untuk Perangkat Desa - Wiring Diagram.
Itulah contoh surat lamaran kerja di perangkat desa yang dapat admin kumpulkan. Bagi sahabat yang sedang mencari pengalaman kerja dengan program PKL Contoh surat permohonan berikut ini pastinya bisa dipakai. Fotokopi surat pengunduran diri dari panitia pengisian perangkat desa.
Jangan pernah meremehkan aparat desa, karena desa tanpa alat desa tidak akan bisa berjalan lancar. Pengunduran diri datang setelah laporan pihak ketiga menunjukkan eksekutif puncak. Contoh Surat Lamaran Untuk Aparat Desa.
Bisa diprediksi, berapa banyak calon karyawan perdana setiap musimnya.
Contoh Surat Lamaran Pekerjaan Untuk Perangkat Desa - Wiring Diagram.
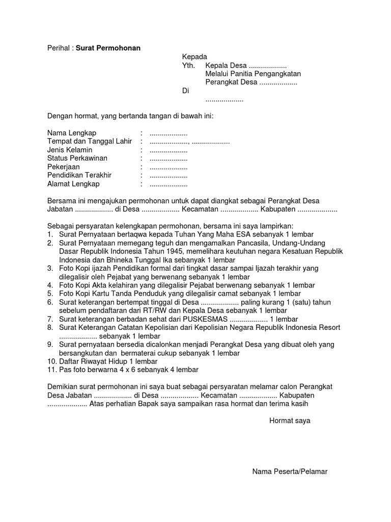
Bagi sahabat yang sedang mencari pengalaman kerja dengan program PKL Contoh surat permohonan berikut ini pastinya bisa dipakai. Contoh Surat Lamaran Perangkat Desa Pdf Atau: Sebagai mana kita ketahui bersama bahwa salah satu syarat untuk menjadi perangkat desa adalah mengajukan permohonan secara tertulis di atas kertas ditandatangani dan bermaterai cukup yang ditujukan. Demikian Surat permohonan lamaran kerja ini saya buat dengan sebenar-benarnya.
Contoh Surat Pemberitahuan Pembayaran Bahasa Inggris. For starters, be sure that the program you choose to download is not cost-effective, and its compatible with. Demikian Surat permohonan lamaran kerja ini saya buat dengan sebenar-benarnya.
Contoh Surat Permohonan Menjadi Perangkat Desa - Berbagai Contoh. Contoh Surat Lamaran Untuk Aparat Desa. Contoh Surat Lamaran Menjadi Calon Bpd.
Dengan ini, saya bermaksud mengajukan surat permohonan untuk bekerja sebagai Pegawai Desa di Desa Konoha.
Surat Lamaran Kerja Pegawai Desa Berikut adalah Contoh Sertifikat Lamaran Kerja sebagai Pegawai Desa.
Saya melamar pada loker IT di Desa saya. For starters, be sure that the program you choose to download is not cost-effective, and its compatible with. Sebagai mana kita ketahui bersama bahwa salah satu syarat untuk menjadi perangkat desa adalah mengajukan permohonan secara tertulis di atas kertas ditandatangani dan bermaterai cukup yang ditujukan kepada tim penjaringan dan penyaringan perangkat desa.
Contoh Surat Lamaran Kerja Perangkat Desa - Contoh Four (Margaret Collins) Beberapa hal, Sobat harus ketahui untuk membuat surat lamaran kerja yang baik dan benar, yaitu: - Surat Lamaran harus dibuat rapi dan bersih Jika anda menggunakan Ms. Pernyataan kesediaan bersedia pramugari desa menulis inspirasi bagi permohonan dicalonkan perangkat gawecv gawe terkait mengenai selengkapnya. Contoh surat lamaran pekerjaan di PT.
Contoh Surat Lamaran Untuk Aparat Desa. Surat Lamaran Contoh Formulir Pendaftaran Perangkat Desa - Nusagates. First of all, ensure that the app youre using isnt cost-free, and its compatible with the software youre using.
Contoh surat lamaran perangkat desa doc maka dari itu pada kesempatan kali ini saya akan membagikan beberapa contoh surat lamaran kerja format doc yang baik dan benar untuk. Fotokopi surat pengunduran diri dari panitia pengisian perangkat desa. Sebagaimana diketahui, jumlah pengangguran tiap tahunnya bisa selalu bertambah.












